小型加工中心數控機床價格
? 想知道小型加工中心數控機床價格?先要確認您加工產品的尺寸和加工要求,最后再看小型加工中心數控機床價的配置,并沒有固定價的,從十幾萬到上百萬的都有,具體的小型加工中心數控機床價價格請聯系我們!
為了快速精確地建立機床幾何誤差項數學模型,提出了一種基于切比雪夫多項式的參數化建模方法。首先針對測量得到的機床基本幾何項數據,將機床相應運動軸進給量轉化為切比雪夫變量。其次將切比雪夫變量代入不同階次的切比雪夫多項式得到相應的值。然后根據切比雪夫基函數值和切比雪夫變量用多元線性回歸方法獲得相應的系數,得到關于切比雪夫基函數的數學模型。*后將運動軸進給量與切比雪夫變量之間的轉化關系代入得到基本幾何誤差項的數學模型。

建模過程簡單且易程序化,切比雪夫多項式的高逼近精度使得建立的模型精度高。將所有幾何誤差項參數化模型代入機床幾何誤差模型綜合數學模型,從而可得到機床工作空間幾何誤差場分布。以MV-5A 三軸立式加工中心為例,將各個幾何誤差項參數化模型代入機床幾何誤差模型中得到該機床綜合幾何誤差數學模型,進而得到該機床工作空間幾何誤差場分布,為機床設計和誤差補償提供了理論依據。
國產小型加工中心數控機床價格
引言
隨著制造業的快速發展以及工件精度要求和復雜度的提高,對機床精度的要求越來越高。機床幾何誤差和熱誤差是影響機床加工精度的主要因素,占60%以上[1 - 2]。而幾何誤差的建模和補償是提高機床精度的一種重要途徑。數控機床幾何誤差建模大多是基于多體理論建立齊次變換矩陣得到機床幾何誤差[3 - 6]。同時坐標系之間的微分變換關系和指數積理論也分別被用來進行誤差建模和補償[7 - 9]。根據模型進行補償的前提是數控機床基本幾何誤差項數據。三軸數控機床的21 項幾何誤差可通過激光干涉儀、球桿儀、激光跟蹤儀等裝置采用相應的測量方法得到。得到的誤差項數據是離散數據,反映了機床行程一系列點的誤差,這就需要建立機床基本誤差項的參數化模型,即建立相應的數學表達式。很多學者采用了不同的方法來建立基本誤差項的模型[10 - 11]。Fan 等[12]引入正交多項式回歸法根據測量得到的誤差數據建立機床主軸熱誤差模型,又采用正交多項式回歸法建立機床幾何誤差項數學模型[13]。Lee 等根據幾何誤差項的性質建立了合理的多項式模型,然后進行誤差測量辨識得到相應的系數[14]。
切比雪夫多項式在函數逼近方面比泰勒展開式有更高的精度。切比雪夫多項式已經在數字信號處理、衛星軌道、氣象學中得到廣泛應用[15]。相比于*小二乘法多項式擬合,隨著擬合次數的增加,切比雪夫多項式各部分誤差減小,精度增加[16]。本文提出一種基于切比雪夫多項式的機床幾何誤差項參數化建模方法。首先根據辨識得到的數據,結合幾何切比雪夫多項式性質,將機床位移變量進行變換。然后計算得到各個不同次數的切比雪夫多項式基函數的系數,接著代入機床位移變量轉換關系展開得到相應的幾何誤差項參數化模型。將幾何誤差項參數化模型代入機床綜合幾何誤差模型得到相應數學模型,從而可計算得到機床誤差場分布,為機床設計和補償奠定基礎。
1、 數控機床幾何誤差建模
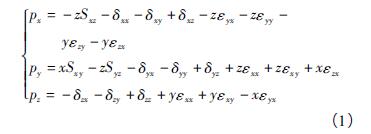
三軸數控機床有21 項幾何誤差項。因為每個物體在空間上存在6 個自由度,所以每個運動軸存在6 項基本誤差項,包括3 項線性誤差和3 項轉角誤差。圖1 表示了X 軸的6 項基本誤差項。其中δxx、δyx、δzx分別是X、Y、Z 方向的線性誤差,εxx、εyx、εzx分別表示繞X、Y、Z 軸的轉角誤差。同時由于安裝制造等原因,各個運動軸之間很難保證絕對的垂直,所以運動軸之間存在垂直度誤差。其中X 軸和Y 軸之間的垂直度誤差為Sxy,X 軸和Z 軸之間的垂直度誤差為Sxz,而Y 軸和Z 軸之間的垂直度誤差為Syz。那么三軸數控機床存在18 項幾何誤差和3 項垂直度誤差。

圖1 X 軸6 項基本誤差項示意圖
幾何誤差建模是誤差補償的基礎。本文以三軸立式加工中心MV-5A 為例,為XYFZ 型機床。圖2 所示為XYFZ 型機床結構簡圖。該三軸數控機床可視為一個開環運動鏈,該運動鏈為工作臺—X 軸—Y 軸—床身—Z 軸—刀具。可以采用指數積理論對機床進行幾何誤差建模,那么機床刀具相對于工作臺的位置誤差可表示為:

本文地址:http://m.ibmt61.cn/hyxw247.html
以上文章“小型加工中心數控機床價格”僅供參考,如果您有這方面的需求,請來電咨詢!
國內小型加工中心數控機床價格
高速小型加工中心價格
隨著制造經濟的發展,現在高速小型加工中心的使用已經很普遍了。對企業而言,自動化是當前的發展趨勢。如何提高企業的生產效率和市場競爭力是企業面臨的主要問題。市面上的電腦種類……
超小型加工中心價格
超小型加工中心價格,上善精機一路奔跑收獲榮譽。如今上善精機將繼續一路向前,為我國機床行業跑出新高度。值此新春佳節即將到來之際,……
立式小型加工中心價格
國產立式小型加工中心價格是多少? 立式小型加工中心目前廣泛應用于制造業。所有的模具制造商基本上都需要使用它。立式小型加工中心的高剛度和大切削能力是其重要標志。機床的重切削……
小型加工中心數控機床價格
摘要: 為了快速精確地建立機床幾何誤差項數學模型,提出了一種基于切比雪夫多項式的參數化建模方法。首先針對測量得到的機床基本幾何項數據,將機床相應運動軸進給量轉化為切比雪夫變……
臥式小型加工中心價格
臥式小型加工中心報價,來上善精機 新能源汽車是汽車產業未來發展的方向,也是我們正在攻關的重點。我認為,作為一名勞模,不僅僅是勤勤懇懇、踏踏實實地工作,更應該要不斷地創新、……